2.5 Scalability
Scale can be performed horizontally or vertically, it is important to compare the trade offs between them case by case.
Horizontal scalling is not always the best choice.
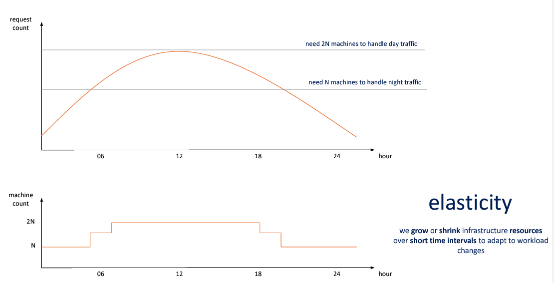
Elasticity
- the ability of a system to acquire resources as it needs them, and release resources when it no longer needs them
- scalability is required for elasticity
